关于我们  |  培训项目  |  在线教育  |  企业内训
行业专家  |  书籍推荐  |  在线报名  |  师资招聘
 
液压气动培训 当前位置:首页 > 培训项目 > 液压气动培训

液压系统中液压缸所承受的负载种类
   信息发布:中科智谷   发布时间:2018/4/7

       在一般情况下,液压传动系统中液压缸承受的负载由六部分组成,即工作负载、导轨摩擦负载、惯性负载、重力负载、密封负载和背压负载,前五项构成了液压缸所要克服的机械总负载。

1)工作负载

      不同的机器有不同的工作负载。对于金属切削机床来说,沿液压缸轴线方向的切削力即为工作负载;对液压机来说,工件的压制抗力即为工作负载。工作负载与液压缸运动方向相反时为正值,方向相同时为负值(如顺铣加工的切削力)。工作负载既可以为恒值,也可以为变值,其大小要根据具体情况加以计算,有时还要由样机实测确定。

2)导轨摩擦负载

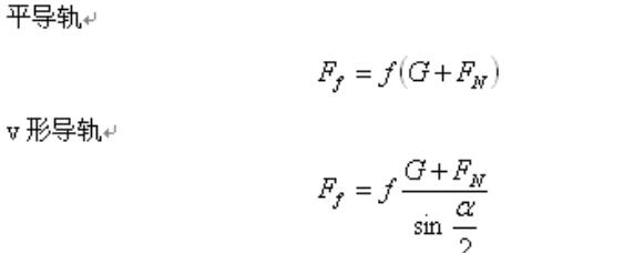
       导轨摩擦负载是指液压缸驱动运动部件时所受的导轨摩擦阻力,其值与运动部件的导轨形式、放置情况及运动状态有关。各种形式导轨的摩擦负载计算公式可查阅有关手册。机床上常用平导轨和v形导轨支承运动部件,其摩擦负载值的计算公式(导轨水平放置时)为:

式中:— 摩擦系数,其中,静摩擦系数和动摩擦系数值参考表2.1;  

        — 运动部件的重力;

        —垂直于导轨的工作负载;

        — V形导轨面的夹角,一般=90°。

3) 惯性负载
      惯性负载是运动部件在启动加速或制动减速时的惯性力,其值可按牛顿第二定律求出。

4)重力负载

     垂直或倾斜放置的运动部件,在没有平衡的情况下,其自重也成为一种负载。倾斜放置时,只计算重力在运动上的分力。液压缸上行时重力取正值,反之取负值。

5)密封负载

     密封负载是指密封装置的摩擦力,其值与密封装置的类型和尺寸、液压缸的制造质量和油液的工作压力有关,的计算公式详见有关手册。在未完成液压系统设计之前,不知道密封装置的参数,无法计算,一般用液压缸的机械效率加以考虑,常取=0.90~0.97。

6)背压负载

     背压负载是指液压缸回油腔背压所造成的阻力。在系统方案及液压缸结构尚未确定之前,也无法计算,在负载计算时可暂不考虑。表2.2列出几种常用系统的背压阻力值。



上一篇: 液压系统故障诊断与维护维修技术的发展趋势
下一篇: 液压系统的故障特征与诊断步骤

友情链接  
    人力资源和社会保障部     工业和信息化部教育与考试中心     中国就业培训技术指导中心     中国国家图书馆     国家开放大学     中国科学技术协会     中国科学技术馆     北京教育考试院     中国科普博览     杭州教育宝


版权所有© All Rights Reserved北京中科智谷机电技术研究院  
技术支持:FUQIIT  京ICP备12051865号-3